이전의 글에서 비리얼 정리에 대해 다루었다.
이번에는 비리얼 정리를 통해 은하의 질량을 추정하는 방법에 대해 다루려고 한다.
비리얼 정리가 무엇인지 모른다면 아래의 글을 참고하기 바란다.
1. 비리얼 정리를 통한 은하의 질량 추정
질량이 M, 반지름이 R인 어떤 타원 은하에 질량 m인 질점이 N개만큼 균일한 밀도로 들어있다고 가정해보자.

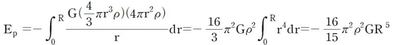
이 구체가 가지고 있는 역학적 에너지와 운동에너지를 아래와 같이 나타낼 수 있다.

수식을 위와 같이 비례로만 표현한 이유는 아래와 같다.
1) 구체의 역학적 에너지를 구하기 위해서는 구껍질의 역학적 에너지를 적분해야 한다.
2) 구체 내의 입자들의 평균적 역학적 에너지를 구하기 위해서 속도 분산을 이용한다. 은하나 성단의 스펙트럼을 측정할 때, 천체 안에서 항성의 움직임이 모두 제각각이기 때문에 적색편이와 청색편이가 함께 나타난다. 이로 인해 선폭이 넓게 측정되는데 이를 도플러 선폭 증가라고 부른다. 이러한 방식을 통해 은하 내에서의 속도 분산을 알 수 있다.조금 더 정량적인 공식을 한번 구하려고 한다면 균일한 구체의 역학적 에너지는 내부 질량에 대해 외부의 질점이 얼만큼의 역학적 에너지를 가지고 있는지를 모두 적분해야 한다.
또 하나의 문제는, 외부에 이러한 질점이 내부 질량을 둘러 싸고 있다는 것.

따라서 구의 부피를 구하는 공식으로 내부 질량을 구하고, 구의 표면적을 구하는 공식으로 질점의 양을 구하면 된다.
물론, 부피에 밀도를 곱하여 질량을 구해주어야 한다. 이를 공식으로 표현하면 아래와 같다.

여기서 구체의 전체 밀도는 전체 질량에 부피를 나누어준 것이므로 이를 다시 표현하면 아래와 같다.

이렇게 공식이 나온다. 그래서 그냥 비례식으로 표현 한 것이다.
안정된 계 내에서 운동에너지는 역학적 에너지의 반과 같음을 알고 있다.
따라서 이를 다시 비례식으로 표현하면 아래와 같다.

여기서 질점과 질점 개수의 곱은 전체 질량과 같으므로 이를 변환해보면 아래와 같이 수식이 변한다.

이 수식이 시사하는 것은 타원 은하, 은하단 같은 천체의 속도 분산과 반지름만 측정하면 질량을 구할 수 있다는 것이다.
속도 분산은 도플러 선폭 증가로, 반지름은 각지름으로 구할 수 있으므로 이 두개만 측정하면 천체의 대략적인 질량을 추정할 수 있다.
2. 가스 성운의 질량 추정
가스 성운의 경우 기체 입자의 역학적 에너지는 곧 열 에너지 이므로 아래와 같이 구할 수 있다.


이 수식을 간단하게 비례로 나타낸다면 아래와 같다.

이 수식이 의미하는 것은 가스의 온도를 측정하면 질량을 추정할 수 있다는 것이다.
3. 비리얼 정리를 통한 질량 추정과 암흑 물질
위의 5와 6의 방식, 즉 비리얼 정리로 은하 또는 성단, 성운의 질량을 추정하게 된다.
이를 중력에 의한 질량, 혹은 역학적 질량이라고 부른다.
그런데 여기서 또 하나의 방식으로 천체의 질량을 추정할 수 있는 방법이 있으니....
이는 주계열성의 질량-광도 관계이다.
쉽게 말하면 질량이 크면 클수록 더 많은 에너지를 낸다는 것이다.
따라서 은하와 별의 광도를 측정하면 이에 따른 대략적인 질량을 추정할 수 있다.
역학적 질량과 빛을 내는 물질의 질량을 비교하면 암흑 물질의 존재를 알 수 있다.

암흑 물질은 빛을 내지 않기 때문에 암흑 물질이 많다면 M/L 값은 1보다 훨씬 크게 나올 것이고, 암흑 물질이 적다면 1과 비슷한 값으로 나올 것이다. 은하와 은하 거대 구조의 M/L비를 보면 아래와 같다.
| 나선은하 | 타원은하 | 은하그룹 | 은하단 |
M/L비 | 2~10 | 1~200 | ~180 | ~200 |
이는 암흑 물질이 존재하는 것을 의미한다.
4. 결론
1) 타원 은하, 성단 등 천체 내에서 별들의 속도분산, 반지름을 측정하면 비리얼 정리로 은하의 질량을 추정할 수 있다.

2) 가스로 이루어진 천체의 온도와 반지름을 측정하면 비리얼 정리로 은하의 질량을 추정할 수 있다.

3) 비리얼 정리로 추정한 천체의 질량과 광학적 밝기로 추정한 천체의 질량비(M/L)의 값이 1보다 매우 큰 것은 암흑 물질의 존재를 시사한다.
이번 글에서는 비리얼 정리를 통해 은하의 질량을 추정해보고, 이를 통해 구한 은하의 질량과 빛을 내는 물질의 질량을 비교하여 암흑 물질의 존재에 대해서 알아보았다.
과학 기술이 발전했음에도 불구하고 아직까지도 발견할 수 없는 것들이 아주 많다는 것이 신기할 따름이다.
잘못된 것이 있거나, 질문이 있을 경우에는 댓글 바란다.







댓글을 불러오는 중...