광학적 깊이에 이어 전달 방정식에 대해 알아보고자 한다.
혹시나 아직 광학적 깊이가 무엇인지 잘 모른다면 아래 글을 읽어본 뒤 이 글을 읽기를 바란다.
1. 전달 방정식의 정성적 사고
전달 방정식은 어떤 천체 내부에서 빛이 전달되는 과정을 나타낸 것이다.
일반적으로 천체는 빛을 흡수하기도 하지만 방출도 동시에 한다. 교실에 비유를 들어 이야기해보자.
1) 학생들이 맨 앞의 선생님(관측자)에게 동전을 차례로 넘긴다.
2) 각 학생들은 뒤에서 동전을 받으면 그 중 1개를 가지고(소광) 4개를 추가(방출)한다.
3) 선생님은 몇개의 동전을 받게 될까?
그럼 각각의 학생들을 지날 때마다 동전의 변화량은 동전 추가량(방출량) - 동전을 가진량(소광)과 같다.
그리고 동전이 추가되는 정도는 지나치는 인원이 많을수록(통과하는 길이가 늘어날 수록) 많아진다.
통과하는 길이가 길면 길수록, 처음에 명수가 넘긴 돈은 모두 학생들이 가져서 선생님에게 도달할 수 없을 것이다.
선생님은 명수가 넘긴 돈을 알 수 없고, 이것이 대기라고 하면 관측자는 어느 한 지점 내부에서 오는 빛을 볼 수 없다.
불투명하기 때문에 관측할 수 없다고 말할 수 있다.
2. 전달 방정식의 정량적 사고

대망의 전달방정식이다.
그림은 천문학 및 천체물리학 서론 제4판(교보문고), p228쪽의 그림이다.
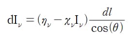
여기서 생각해 볼 것은 빛이 통과한 거리, 그리고 소광의 정도와 가스를 통과한 뒤의 광도 변화가 어떻게 되느냐이다.
이것은 위에서 비유한 교실의 상황과 같다.
1) 빛이 통과한 거리 : 빛이 통과한 각도가 θ이므로, 통과한 거리는 (dl/cosθ)가 됨.
2) 통과한 빛의 광도 변화량 : 방출한 정도 - 소광된 정도
3) 위의 값은 거리에 비례함.
4) 따라서 빛의 광도변화량 = (방출한 정도 - 소광된 정도) * 통과한 거리위의 수식을 아래의 약자로 대체하고 이를 정량적인 수식으로 세워보자.
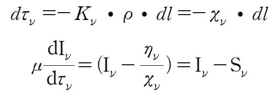
참고할 것은 3에서의 광학적 깊이는 '파장'을 기준으로, 전달 방정식에서는 천문학 및 천체물리학에서 기술되어 있는 그대로 '진동수'를 기준으로 기술하였다는 것이다.
소광 계수(χ): (불투명도*밀도)와 같은 값
방출 계수(η) : 기체가 방출하는 값
원천 함수(S=η/χ) : 빛의 방출량/빛의 흡수량
광학 깊이(τ) : 이걸 모르면 위로 다시 돌아가자.
위의 수식은 처음에 쓰여있는 정성적 사고를 수식으로 바꾼 것 뿐이다.
여기에 광학적 깊이의 미분량을 양변에 나누어주고, μ=cosθ로 정의하면 식은 아래와 같이 변하게 된다.

이를 적분인자를 양변에 곱하여 해를 얻은 것이 바로 천문학 및 천체물리학 서론에 나와 있는 마지막 수식이다.

3. 결론 - 전달 방정식을 이해하는 방법
1) 전달 방정식이란, 천체 내부에서 빛이 어떻게 전달 되는가를 나타낸 것이다.
2) 별의 내부에서는 빛의 소광과 방출이 동시에 일어난다.
3) 따라서 전달 방정식은 빛의 방출량에 소광량을 빼어주고, 이에 빛이 통과한 거리를 곱해준 것이다.
사실 임용을 준비하는 이들도 전달 방정식을 완전하게 이해하지는 못하고 정성적으로 이해할 뿐이다.
계속적으로 강조하는 것이지만 식을 외우는 것보다는 이해하는 것이 중요하다.
다음 글에서는 위의 전달 방정식이 실제 행성의 대기에서 어떻게 쓰이는지를 알아보고자 한다.


댓글을 불러오는 중...